Triangle Area & Perimeter: Flowchart & Pseudocode

T.Zhik 117 views
Triangle Area & Perimeter: Flowchart & Pseudocode

Triangle Area & Perimeter: Flowchart & Pseudocode

Hey guys! Today, we’re diving deep into something super cool and fundamental in programming: calculating the area and perimeter of a triangle . Whether you’re just starting your coding journey or looking to solidify your understanding, this guide is for you. We’ll break down how to create a flowchart and write pseudocode to solve this common geometry problem. Stick around, because by the end of this, you’ll be a triangle-calculating pro!

Understanding the Basics: Area and Perimeter of a Triangle

Before we jump into flowcharts and pseudocode, let’s quickly refresh our memories on what we’re actually trying to calculate. For a triangle, there are a few ways to find the area, but the most common formula, especially when dealing with basic programming exercises, involves the base and height. The formula for the area of a triangle is:

* Area = ( 1 2 ) * base * height *

Simple, right? You need two key pieces of information: the length of the triangle’s base and its perpendicular height. Now, let’s talk about the perimeter of a triangle . This is even simpler! The perimeter is just the total length of all its sides added together. If a triangle has sides of length a , b , and c , then:

Perimeter = a + b + c

So, to calculate the perimeter, you’ll need the lengths of all three sides. Keep these formulas handy as we move on to visualizing the process with a flowchart and then writing it down in a more structured way with pseudocode.

Visualizing the Process: The Flowchart

Okay, so what exactly is a flowchart? Think of it as a visual map that outlines the steps of a process or an algorithm. It uses different shapes to represent specific actions or decisions, connected by arrows to show the flow of control. Flowcharts are incredibly helpful because they make complex logic easy to understand at a glance. They’re a fantastic tool for planning out your program before you start writing actual code. For our triangle problem, a flowchart will show us exactly what steps the computer needs to take, from start to finish, to calculate both the area and the perimeter.

Let’s walk through the typical shapes we’ll use:

  • Terminator (Oval): This marks the beginning and end of our flowchart. We’ll have one for ‘Start’ and one for ‘End’.
  • Input/Output (Parallelogram): This shape is used for taking input from the user (like the base and height, or the side lengths) and for displaying the results (the calculated area and perimeter).
  • Process (Rectangle): This is where the actual calculations happen. We’ll use this for applying our formulas.
  • Decision (Diamond): While not strictly necessary for this basic calculation, decision shapes are used to represent points where the program needs to make a choice (e.g., ‘Is the input valid?’). We’ll keep this simple for now, assuming valid input.
  • Arrows: These connect the shapes and indicate the direction of the flow.

Now, let’s sketch out the flowchart logic for calculating the area and perimeter of a triangle. First, we need to decide which formulas we’ll use. As mentioned, for area, we commonly use base and height. For perimeter, we need all three sides. This means our program might need to ask for different sets of inputs depending on what the user wants to calculate, or we could design it to calculate both if given enough information. For simplicity in this example, let’s assume we’ll calculate both area (using base and height) and perimeter (using three sides). This might mean asking for five inputs: base, height, and three side lengths (though realistically, if you have base and two other sides, you might need to calculate the height, which is more complex. Let’s stick to the scenario where we are given base, height, and all three sides for demonstration).

Alternatively, we could make it more flexible. Let’s design it to calculate either area or perimeter, or both, based on user input. For this example, let’s focus on calculating both given the necessary inputs: base, height, and the lengths of the three sides (side_a, side_b, side_c).

Flowchart Steps:

  1. Start: The process begins.
  2. Input Base, Height, Side A, Side B, Side C: The program prompts the user to enter the values for the base, height, and the lengths of the three sides of the triangle.
  3. Calculate Area: Using the input values, calculate the area with the formula: Area = 0.5 * Base * Height .
  4. Calculate Perimeter: Using the input values, calculate the perimeter with the formula: Perimeter = Side A + Side B + Side C .
  5. Output Area: Display the calculated area to the user.
  6. Output Perimeter: Display the calculated perimeter to the user.
  7. End: The process concludes.

This flowchart provides a clear, step-by-step visual representation of our algorithm. It’s the blueprint for our pseudocode and eventually, our actual code. You can draw this out using flowchart software or even just pen and paper to really get a feel for the logic flow. Remember, planning visually first can save a ton of time and headaches later on!

Translating Logic into Pseudocode

Alright, flowcharts are great for visualization, but when we actually want to write instructions that a computer can understand (or at least get very close to it), we use pseudocode . Pseudocode is like a simplified, human-readable way of describing an algorithm’s steps. It doesn’t follow any strict programming language syntax, which makes it super flexible and easy to write and understand. It bridges the gap between the flowchart’s visual representation and the detailed syntax of a programming language like Python, Java, or C++.

Think of pseudocode as writing the recipe for your program. You list out the ingredients (variables) and the steps (operations) in a clear, logical order. It helps you think through the problem logically and ensures you haven’t missed any crucial steps before you dive into writing actual code. This is especially useful when you’re collaborating with others, as pseudocode can be easily understood by people with different programming backgrounds.

For our triangle area and perimeter calculation, let’s translate the flowchart steps into pseudocode. We’ll define variables to hold our input values and calculated results. We’ll use keywords like INPUT , OUTPUT , CALCULATE , and END to make it clear what’s happening at each step.

Pseudocode Steps:

PROGRAM CalculateTriangleProperties

  // Declare variables
  DECLARE base, height, side_a, side_b, side_c AS REAL
  DECLARE area, perimeter AS REAL

  // Input section
  OUTPUT "Enter the length of the base: "
  INPUT base

  OUTPUT "Enter the height of the triangle: "
  INPUT height

  OUTPUT "Enter the length of the first side (a): "
  INPUT side_a

  OUTPUT "Enter the length of the second side (b): "
  INPUT side_b

  OUTPUT "Enter the length of the third side (c): "
  INPUT side_c

  // Calculation section
  CALCULATE area = 0.5 * base * height
  CALCULATE perimeter = side_a + side_b + side_c

  // Output section
  OUTPUT "The area of the triangle is: ", area
  OUTPUT "The perimeter of the triangle is: ", perimeter

END PROGRAM

See how that works? We start by declaring our variables, essentially reserving space in the computer’s memory for the numbers we’ll be working with. We’re using REAL here because lengths and areas can often have decimal points. Then, we use OUTPUT to ask the user for information and INPUT to receive that information and store it in our variables. The CALCULATE steps are where the magic happens, applying our formulas. Finally, we use OUTPUT again to show the results. This pseudocode is a very clear representation of the algorithm, and it would be straightforward to convert this into almost any programming language. Guys, this is the power of pseudocode – it makes programming logic accessible!

Putting It All Together: Example and Considerations

Let’s walk through a quick example to see how this pseudocode would work in practice. Imagine a triangle with:

  • Base = 10 units
  • Height = 5 units
  • Side a = 6 units
  • Side b = 7 units
  • Side c = 8 units

When the program runs, it would first prompt you to enter these values. After you enter them:

  1. Input: base becomes 10, height becomes 5, side_a becomes 6, side_b becomes 7, and side_c becomes 8.
  2. Calculate Area: area = 0.5 * 10 * 5 = 25
  3. Calculate Perimeter: perimeter = 6 + 7 + 8 = 21
  4. Output: The program would then display:
    • “The area of the triangle is: 25”
    • “The perimeter of the triangle is: 21”

Pretty neat, huh? This straightforward approach works perfectly when you have all the necessary measurements. However, in real-world scenarios, you might encounter situations where you don’t have all the required inputs.

Important Considerations:

  • Input Validation: What if the user enters a negative number for a side length, or a height that doesn’t make sense for the given sides? A robust program would include input validation to check if the entered values are reasonable (e.g., side lengths must be positive, and they must satisfy the triangle inequality theorem: the sum of any two sides must be greater than the third side).
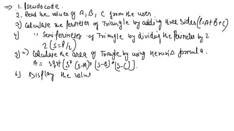
  • Calculating Height: If you only have the lengths of the three sides, calculating the area requires first finding the height. This involves Heron’s formula or trigonometry, which adds complexity to the algorithm. For instance, Heron’s formula calculates the area using only the side lengths:
    • First, calculate the semi-perimeter s = (a + b + c) / 2 .
    • Then, Area = sqrt(s * (s - a) * (s - b) * (s - c)) . If you needed to calculate only the area from three sides, your flowchart and pseudocode would be different, focusing solely on Heron’s formula.
  • User Choice: You could design the program to ask the user whether they want to calculate the area, the perimeter, or both. This would involve using decision structures (like IF-THEN-ELSE statements) in both the flowchart and pseudocode.

For this article, we stuck to a simpler scenario to clearly illustrate the creation of a flowchart and pseudocode for calculating both area and perimeter when the relevant inputs (base, height, and three sides) are provided. Remember, the key is to break down the problem, visualize the steps, and then write them down clearly.

Conclusion

So there you have it, guys! We’ve explored how to calculate the area and perimeter of a triangle by first creating a visual flowchart and then translating that logic into pseudocode . These are foundational skills in programming that help you plan, design, and communicate your algorithms effectively. Whether you’re working on a school project or building your own app, mastering flowcharts and pseudocode will set you up for success. Keep practicing, keep experimenting, and don’t be afraid to tackle new problems. Happy coding!